Rabu, 31 Agustus 2022

Ano Ang Pagkakatulad At Pagkakaiba Ng Udhr Bill Of Rights At Children's Right

Ito sa paniniwalang batas na ang karapatang pantao ng mga nakakatanda ay siya ring kaukulang karapatan ng mga kabataan. Narito ang ibang detalye tungkol sa bill of rights at UDHR.


Ap10 Q4 Gawain 14 Pdf

Makikita natin agad na ang pinakamalaking pagkakaiba ng dalawang uri ng kwentong ito ay ang kanilang haba.

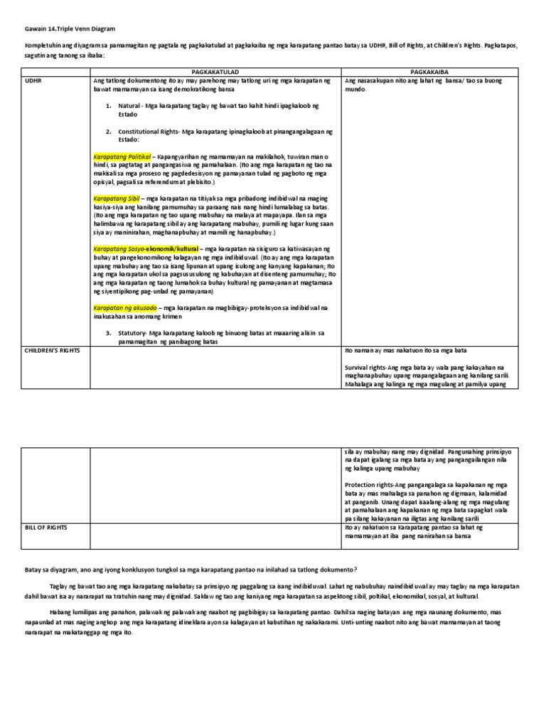
Ano ang pagkakatulad at pagkakaiba ng udhr bill of rights at children's right. May pinangangalagaang karapatan ang isang tao anuman ang estado nito sa buhay. Karlnadunza Ang mga karapatan ng mga tao na nakapaloob sa Universal Declaration of Human Rights UDHR ng United Nations mga karapatang nasa Bill of Rights sa ating Konstitusyon at ang Childrens Rights na napagkasunduan ng maraming bansa ay halos magkakapareho lamang. Ang pagkakatulad ng Bill of Rights at UDHR ay ang pagsulong at pagtataguyod ng mga ito ng mga karapatang pantao.

At ang mga karapatang ito ay pinagtitibay at pinoprotektahan ng Bill of Rights o Katipunan ng mga Karapatan. Lanada Eara Jamille M. Ito rin ang dahilan ng kanilang kaugnayan at pagkakatulad sa isat-isa.

ANO ANG MAIKLING KWENTO Narito ang pagtalakay sa kahulugan ng maikling kwento at ang mga halimbawa nito. Bawat nilalang sa daigdig ay mayroong karapatan kabilang ang mga tao. Ang bill of rights ay ang lipon ng mga karapatan na nakatugma sa batas.

Kabilang dito ang Bill of Rights ng bansa. Dito ay nakasaad ang. Ito ay sinasabing isa pinakamataas at pinakamahalagang batas sa bansa na.

Sa kabilang banda ang UDHR naman ay pinaikling Universal Declaration of Human Rights UDHR. Unsent message to harry. Lanada Eara Jamille M.

Ang bill of rights ng ating konstitusyon ang siyang kabuuan ng basehan upang buuin ang childrens rights. Tinatawag din itong International Magna Carta for All Mankind dahil sa lahat ng bansa ay ginagawa itong batayan. Binuo ng United Nations noong 1945 ang UDHR na isang malaki at malinaw na balangkas sa pagpapatupad at pagbabahagi ng kaalaman patungkol sa karapatang pantao.

Gender neutral hair salon near mong kok.


2


Ap10 Q4 Gawain 14 Pdf

0 komentar: